Skip to main content
FAQs
Complain
Problems
Search form
Search
X
9857088111
buddhabhumi.mun@gmail.com, info@buddhabhumimun.gov.np
बुद्धभूमि नगरपालिका, नगर कार्यपालिकाको कार्यालय
हनुमानचोक, बुड्ढी, कपिलवस्तु, लुम्बिनी प्रदेश, नेपाल ।
"खुसी नगरवासीः समृद्ध बुद्धभूमि"
Search form
Search
गृहपृष्ठ
परिचय
संक्षिप्त परिचय
जन प्रतिनिधि
कर्मचारी विवरण
पूर्व कर्मचारी
श्रोत नक्सा
पूर्व पदाधिकारी पेज
वडा कार्यालयहरु
वडा नं. १
वडा नं. २
वडा नं. ३
वडा नं. ४
वडा नं. ५
वडा नं. ६
वडा नं. ७
वडा नं. ८
वडा नं. ९
वडा नं. १०
कार्यक्रम तथा परियोजना
आय व्यय विवरण
मौजुदा कानुन
ऐन
नियम
कार्यविधि
निर्देशिका
नीति
मापदण्ड
आचारसंहिता
विधुतीय शुसासन सेवा
मासिक प्रगति
राजपत्र
सूचना तथा समाचार
नीति तथा कार्यक्रम
वार्षिक विकास योजना पुस्तिका RED BOOK
नगर दर रेट
सूचनाको हक
ग्यालरी
नागरिक वडापत्र
बुद्धभूमी नगरपालिका नागरिक वडापत्र
कर्मचारी सम्पर्क नं.
श्रम संसार
समाचार
आधारभूत तह (कक्षा-८) सञ्चालित विद्यालयहरु(सबै), आधारभूत तह (कक्षा-८) उत्तीर्ण परीक्षा समय तालिका प्रकाशन सम्बन्धमा।
बोलपत्र स्वीकृत गर्ने आशयको सूचना। Bid no 26
Invitation for Electronic Bids 41 & 42
बोलपत्र स्वीकृत गर्ने आशयको सूचना । ठेक्का नं २६
Invitation for Electronic Bids 38, 39 & 40
Invitation for Electronic Bids 35
बोलपत्र स्वीकृत गर्ने आशयको सूचना। Bid no 3
Invitation for Electronic Bids 32
Invitation for Electronic Bids 32,33 &34
बुड्ढी तालको चमेना गृह (क्यान्टिन) सञ्चालन सम्बन्धी शिलबन्दी दरभाउपत्र प्रस्ताव आव्हानको सुचना !
अन्य
You are here
Home
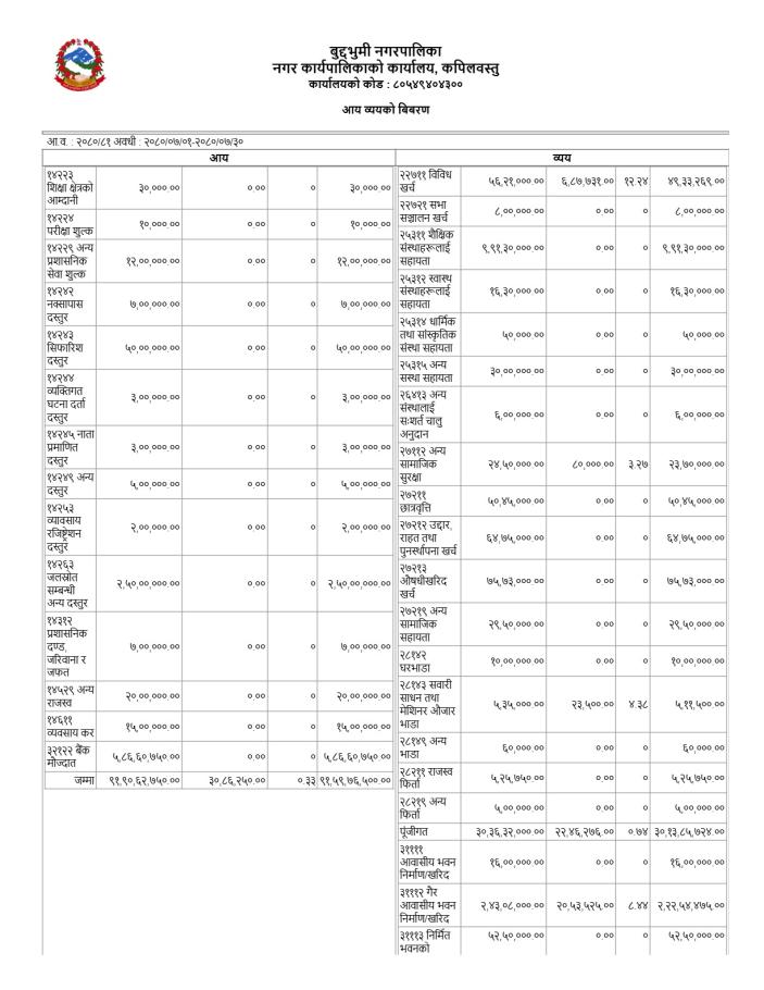
» कार्त्तिक महिनाको आय/व्यव विवरण सम्बन्धमा ।
कार्त्तिक महिनाको आय/व्यव विवरण सम्बन्धमा ।
Submitted on:
Tue, 11/21/2023 - 00:00
प्रकार:
सूचना तथा समाचार
आर्थिक वर्ष:
८०/८१
Primary tabs
View
(active tab)
What links here
//